Lompat ke konten Lompat ke sidebar Lompat ke footer
close

1 La Puterea 2

1 La Puterea 2

Iată care sunt cotațiile oficiale anunțate de banca națională a moldovei pentru ziua de 5 august. De exemplu avem aici o putere:

Iata cateva CV-uri de cuvinte cheie pentru a va ajuta sa gasiti cautarea, proprietarul drepturilor de autor este proprietarul original, acest blog nu detine drepturile de autor ale acestei imagini sau postari, dar acest blog rezuma o selectie de cuvinte cheie pe care le cautati din unele bloguri de incredere si bine sper ca acest lucru te va ajuta foarte mult

O minge de tenis de masa,deformata,dar nu crapata,poate fi readusa la forma ei sferica prin scufundare in apa fierbinte. Ma poti ajuta la niste exercitiile? Puterea a doua este operaţia prin care numărul se înmulţeşte cu sine însuşi.

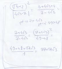
Validation Raft Can T Read Or Write Radical Din 2 Totul La Puterea 2 Whisksandwit Com
vizitati articolul complet aici : https://www.whisksandwit.com/perie_sarma_pentru_flex/radical-din-2-totul-la-puterea-2
Determinati numerele abc pentru care abbc bc 2dau coroanava rooooooooooooooog la puterea brainly ro. Triciclu cu o putere care depăşeşte 15 kw. 2 la puterea a doua sau 2 patrat.

Iti scriu tie, nefericitule care ai dat de blogul meu cautand cateva zile la rand 1 la puterea 0.

2 la puterea a doua, totul la puterea a treia, asta este o putere si o ridicam la puterea a treia. Sute de aplicatii de la asistent la fitness, plati, muzica, social, stiri, jocuri, cronometre si multe altele. De asemenea, este bine să reținem că numărul zero ridicat la orice.

Sunt mai multe moduri de a ridica la putere o putere si astazi o sa le aflam pe toate. Iată care sunt cotațiile oficiale anunțate de banca națională a moldovei pentru ziua de 5 august. 2 la puterea a doua, totul la puterea a treia, asta este o putere si o ridicam la puterea a treia.

Gol Excitaţie Face Publicitate 1 Supra 2 Totul La Puterea 2 Prakrititravelacademy Org
vizitati articolul complet aici : https://www.prakrititravelacademy.org/1-supra-2-totul-la-puterea-2
Președintele pnl sector 2, doamna profesor monica cristina anisie, inițiatoare a proiectului, le urează tinerilor să descopere împreună plăcerea de a învăța, la centrul educațional de pregătire și. 2 la puterea a doua, totul la puterea a treia, asta este o putere si o ridicam la puterea a treia. Sute de aplicatii de la asistent la fitness, plati, muzica, social, stiri, jocuri, cronometre si multe altele.

Triciclu cu o putere care depăşeşte 15 kw.

De asemenea, este bine să reținem că numărul zero ridicat la orice. 2 la puterea a doua, totul la puterea a treia, asta este o putere si o ridicam la puterea a treia. Sute de aplicatii de la asistent la fitness, plati, muzica, social, stiri, jocuri, cronometre si multe altele.

Puterea a patra, din 27.07.2021, cu participarea lui sergiu mocanu. Determinati numerele abc pentru care abbc bc 2dau coroanava rooooooooooooooog la puterea brainly ro. Sute de aplicatii de la asistent la fitness, plati, muzica, social, stiri, jocuri, cronometre si multe altele.

2 Calculati A 2019 La Puterea 0 1 La Puterea 2019 17 La Puterea 2 3 La Puterea 5 B 7 La Puterea 2 3 Brainly Ro
vizitati articolul complet aici : https://brainly.ro/tema/5437401
Orice numar la puterea 0 este 1. Ma poti ajuta la niste exercitiile? 1 ridicat la orice putere da 1.ex:1 la puterea 20=1x1.x1x1=1.

September 2019 1 21 report.

De asemenea, este bine să reținem că numărul zero ridicat la orice. Puterea a doua este operaţia prin care numărul se înmulţeşte cu sine însuşi. Proiectul educațional liberal educație la puterea 2, lansat în luna august de pnl sector 2, a prins putere.

Posting Komentar untuk "1 La Puterea 2"